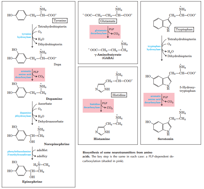
The synthesis of some neurotransmitters is illustrated in Figure Below.

Tyrosine gives rise to a family of catecholamines that includes dopamine, norepinephrine, and epinephrine. Levels of catecholamines are correlated with, among other things, changes in bloodpressure.
The neurological disorder Parkinson's disease is associated with an underproduction of dopamine, and it has traditionally been treated by administering L-dopa.
Overproduction of dopamine in the brain may be linked to psychological disorders such as schizophrenia.
Glutamate decarboxylation gives rise to -aminobutyrate (GABA), an inhibitory neurotransmitter. Its underproduction is associated with epileptic seizures.
GABA analogs are used in the treatment of epilepsy and hypertension. Levels of GABA can also be increased by administering inhibitors of the GABA-degrading enzyme GABA aminotransferase. Another important neurotransmitter, serotonin, is derived from tryptophan in a two-step pathway.
Histidine undergoes decarboxylation to histamine, a powerful vasodilator in animal tissues. Histamine is released in large amounts as part of the allergic response, and it also stimulates acid secretion in the stomach. A growing array of pharmaceutical agents are being designed to interfere with either the synthesis or the action of histamine. A prominent example is the histamine receptor antagonist cimetidine (Tagamet), a structural analog of histamine: It promotes the healing of duodenal ulcers by inhibiting secretion of gastric acid.
Glutathione (GSH)
It is present in plants, animals, and some bacteria, often at high levels, can be thought of as a redox buffer. It is derived from glycine, glutamate, and cysteine. The γ-carboxyl group of glutamate is activated by ATP to form an acyl phosphate intermediate, which is then attacked by the α- amino group of cysteine. A second condensation reaction follows, with the -carboxyl group of cysteine activated to an acyl phosphate to permit reaction with glycine.

The oxidized form of glutathione (GSSG), produced in the course of its redox activities, contains two glutathione molecules linked by a disulfide bond.

Glutathione probably helps maintain the sulfhydryl groups of proteins in the reduced state and the iron of heme in the ferrous (Fe+2) state, and it serves as a reducing agent for glutaredoxin in deoxyribonucleotide synthesis. Its redox function is also used to remove toxic peroxides formed in the normal course of growth and metabolism under aerobic conditions:
This reaction is catalyzed by glutathione peroxidase, a remarkable enzyme in that it contains a covalently bound selenium (Se) atom in the form of selenocysteine, which is essential for its activity.
