D. Nucleic Acids:
Know the scientists:
Swiss biochemist, Friederich Miescher (1869) discovered and isolated nucleic acids from the pus cells. By 1938, it became evident that nucleic acids are of two types- deoxyribose nucleic acid (DNA) and ribose nucleic acid (RNA). DNA is found in chloroplasts and mitochondria. DNA is the hereditary material in most of the organisms. The nucleic acids are among the largest of all molecules found in living beings.
They contain three types of molecules
- 5 carbon sugar,
- Phosphoric acid and
- Nitrogen containing bases.

Three join together to form a nucleotide of nucleic acid.
Fuelgen (1924) showed that chromosomes contain DNA. He established that nucleic acids contain two pyrimidine (cytosine and thymine) and two purine (adenine and guanine) bases.
Wilkins and co-workers showed that the purine and pyrimidine bases are placed regularly along the DNA molecules at a distance of 3.4 A ,
DNA is composed of
1. Sugar molecule - It is a pentose sugar of deoxyribose type.
2. Phosphoric acid (also called phosphates when in chemical combination) Nitrogen containing bases (these are nitrogen containing organic ring compounds). Principally bases are of two types: (a) pyrimidine bases (b) purine.
(a) Pyrimidine bases are single ring (monocyclic) nitrogenous bases. Cytosine, Thymine and Uracil are pyrimidines.
(b) Purine are double ring (dicyclic) nitrogenous bases. Adenine and guanine are purines bases.

Erwin Chargaff (1950) estimated the relative amounts of the four nitrogenous bases viz. adenine, thymine, cytosine and guanine in DNA. They observed that the pyrimidine and purine always occur in equal amount in DNA. They also found that the base ratio i.e. A+T / G+ C may vary in the DNA of different groups of animals and plants but A+T/ G+C ratio remains constant for a particular species.
1. Structure of DNA:
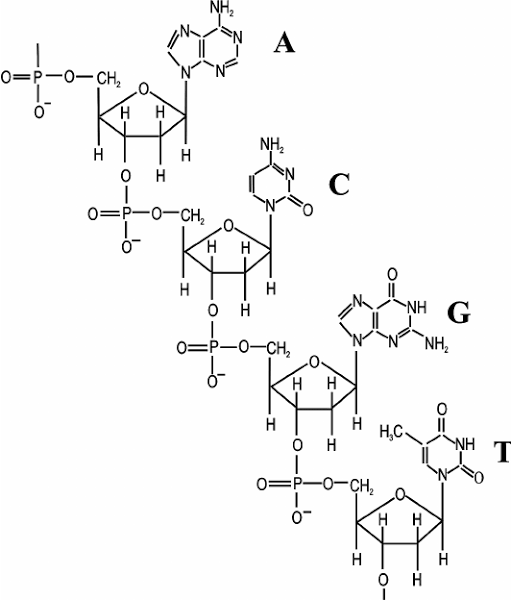
DNA is a very long chain made up of alternate sugar and phosphate groups. The sugar is always deoxyribose and it always joined to the phosphate in the same way, so that the long chain is perfectly regular, repeating the same phosphate-sugar sequence over and over again.
Each sugar of the sugar-phosphate chain has a 'base' attached to it and the base is not always the same. This unit which consists of a sugar, phosphate and a base is called nucleotide.

The nitrogenous base and a sugar of a nucleotide forms a molecule, nucleoside. Thus, nucleoside does not contain phosphate group.
Four types of nucleosides are found in DNA molecule. In a nucleoside, nitrogenous base is attached to the first carbon atom (C-l) of the sugar and when a phosphate group gets attached with that of the carbon (C-5) atom of the sugar molecule a nucleotide molecule is formed.
A single strand of DNA consists of several thousands of nucleotides one above the other. The phosphate group of the lower nucleotide attached with the 5th carbon atom of the deoxyribose sugar forms phospho-di-ester bond with that of the 3rd carbon atom of the deoxyribose sugar of the nucleotide placed just above it.
Single long chain of polynucleotides of DNA consists of one end with sugar molecules not connected with another nucleotide having C-3 carbon not connected with phosphate group, Similarly, the other end having C-5 of the sugar is not connected with any more phosphate group. These two ends of the polynucleotide chain are called as 3' and 5' ends respectively.
The single polynucleotide strand of DNA is not straight but helical in shape. The DNA molecule consists of such two helical polynucleotide chains which are complementary to each other. The two complementary polynucleotide chains of DNA are held together by the weak hydrogen bonds.
Adenine always pairs with thymine, and guanine with cytosine ( a pyrimidine with a purine). Adenine-thymine pair consists of two hydrogen bonds and guanine-cytosine pair consists of three hydrogen bonds .
Thus, if the sequence of bases of a polynucleotide chain is known, that of the other can be determined.
Do you know ?
Watson and Crick did not conduct any experiment on DNA. Crick was expert in physics, X-ray crystallography and Watson in viral and bacterial genetics. They only analyzed and comprehended the results of experiments performed by scientists like R. Franklin, M. Wilkins, etc.
DNA Model:
According to Watson and Crick, molecule consists of two strands twisted around each other in the form of a double helix.The two strands i.e. polynucleotide chains are supposed to be in opposite direction so end of one chain having 3' lies beside the 5' end of the other. One turn of the double helix of the DNA measures about 34A . It consists paired nucleotides and the distance between two neighbouring pair nucleotides is 3.4A . The diameter of the DNA molecule has been found be 20A. There are certain organisms like Bacteriophage φ174 and several bacterial viruses which possess single stranded DNA.

2. Ribonucleic Acid (RNA) :
Another nucleic acid found in the living organisms is Ribose nucleic acid. In most of the organisms it is not found to be hereditary material but in certain organisms like tobacco mosaic virus, it is the hereditary material. Like DNA, ribose nucleic acid also consists of polynucleotide chain with the difference that it consists of single strand. In some cases e.g. Reovirus and wound tumour virus, RNA is double stranded. The nucleotides of RNA have ribose sugar instead of the deoxyribose sugar as in the case of DNA.

In case of RNA, Uracil substitutes thymine of DNA. Purine, pyrimidine equality is not found in RNAmolecule because of its single stranded structure.
RNA strand is usually found folded upon itself in certain regions or entirely. These foldings helps in stability of the RNA molecule. Most of the RNA polynucleotide chains start either with adenine or guanine.
Three types of cellular RNAs have been distinguished:
(a) messenger RNA (mRNA) or template RNA,
(b) ribosomal RNA (rRNA),
(c) transfer RNA (tRNA) or soluble RNA.
(a) messenger RNA (mRNA) or template RNA
mRNA carries genetic information for arranging amino acids in definite sequence. It is a linear polynucleotide. It accounts 3% of cellular RNA. Its molecular weight is several million. mRNA molecule carrying information to form a complete polypeptide chain is called cistron. Size of mRNA is related to the size of message it contains. Synthesis of mRNA begins at 5' end of DNA strand and terminates at 3' end.

(b) ribosomal RNA (rRNA)
rRNA form 50-60% part of ribosomes. It accounts 80-90% of the cellular RNA. It is synthesized in nucleus. Kurland (1960) discovered it. It gets coiled here and there due to intrachain complementary base pairing.

(c) transfer RNA (tRNA) or soluble RNA.
tRNA molecules are much smaller consisting of 70-80 nucleotides.
It is also single stranded but to number of complementary base sequences after pairing, it is shaped like clover-leaf (Holley,1965).
Each tRNA can pick up particular amino acid.
Following four parts can be recognized on tRNA
- DHU arm (Dihydroxyuracil loop / amino acid recognition site
- Amino acid binding site/Acceptor Arm
- Anticodon loop / codon recognition site
- Ribosome recognition site /TΨC.
In the anticodon loop of tRNA, three unpaired nucleotides are present called as anticodon which pair with codon present on mRNA. The specific amino acids is attached at the 3' end in acceptor stem of clover leaf of tRNA.

Can you the tell?
1. Describe the structure of DNA molecule as proposed by Watson and Crick.
2. Difference between DNA and RNA is because of
a. sugar and base b. sugar and phosphate c. phosphate and base d. sugar only
3. Differentiate between DNA and RNA.
4. What is nucleotide? How is it formed? Mention the names of all nucleotides.
